- con TAPA IP40
* B.75 - Solo bajo pedido - NO certificado UL
![]() |
Código | ||||||||
|---|---|---|---|---|---|---|---|---|---|
| T0 003 0505 | |||||||||
| T0 003 0507 | |||||||||
| T0 003 0510 | |||||||||
| T0 003 0515 | |||||||||
| T0 003 0520 | |||||||||
| T0 003 0530 | |||||||||
| T0 003 0540 | |||||||||
| T0 003 0550 | |||||||||
| T0 003 0560 | |||||||||

| 01 | Galvanizado en caliente Sendzimir - UNI EN 10346 | |
| 03 | Galvanizado por inmersión en caliente - UNI EN ISO 1461 | |
| 11 | Gris RAL 7032 - ISO9227-ISO6270-ISO2810 | |
| 15 | Azul RAL 5015 - ISO9227-ISO6270-ISO2810 | |
| 40 | Acero Inoxidable AISI 304 - UNI EN 10088 | |
| 41 | Acero Inoxidable AISI 316L - UNI EN 10088 |
Norma EN 50085-2-1
Sistemas de canales para cables y sistemas de conductos
cerrados para instalaciones eléctricas
Parte 2-1: Sistemas de canales para cables y sistemas de conductos
cerrados para montaje en paredes y techos.
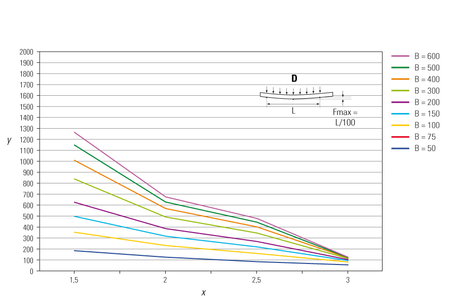
10.4 Ensayo de flexión lineal
La muestra analizada se somete a una carga, distribuida uniformemente, de 1
g/mm2 por metro de longitud del área declarada utilizable para los cables.
Norma EN 61537-1 ed. 2007
Sistemas de bandejas y accesorios para cables
Sistemas de bandejas y de bandejas de escalera
UL - file E471266
Atención: para ZT y ZM material vendido/montados en Estados Unidos y Canadá, por favor, requieren marca de UL

EN 61537-1
y= Carga máx. (N/m)
x= Distancia entre los soportes (m)
D= Carga uniforme