Perforated cable tray

- with COVER IP20
*B.75 - Dimension on demand

Distance between slots: 50mm

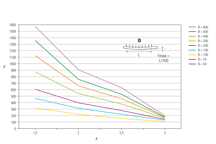
Dimension brush Thickness Conductor section Weight Length SWL (N/m) as function of the span (S) [m] -EN 61537 Usable section of channel [mm²] - EN 50085-2-1 Bottom slots Code
W (B) [mm] [mm2] [Kg/m] [mm] 1,5 m 2 m 2,5 m 3 m 1,5 m 2 m 2,5 m 3 m 3,5 m 4 m
100 0,80 254,40 1,95 3000 313 219 153 107 9600 9600 5000 5000 5000 5000 2 T0 013 1010
150 0,80 294,40 2,22 3000 461 311 218 128 14400 14400 7500 7500 7500 7500 4 T0 013 1015
200 0,80 334,40 2,50 3000 603 394 275 142 19200 19200 10000 10000 10000 9250 6 T0 013 1020
300 1,00 518,00 3,82 3000 871 537 375 160 28800 28800 15000 15000 15000 12250 10 T0 013 1030
400 1,00 618,00 4,51 3000 1120 656 457 171 38400 38400 20000 20000 18571 12500 14 T0 013 1040
500 1,20 859,20 6,21 3000 1352 756 526 178 48000 48000 25000 25000 22857 15250 18 T0 013 1050
600 1,20 979,20 7,04 3000 1569 902 627 196 57600 57600 30000 30000 23142 15500 22 T0 013 1060
List of Coatings
brush
01 Galvanization (Sendzimir method) - UNI EN 10346
03 Hot dip galvanizing - UNI EN ISO 1461
11 Grey RAL 7032 - ISO9227-ISO6270-ISO2810
15 Blue RAL 5015 - ISO9227-ISO6270-ISO2810
40 Stainless steel AISI 304 - UNI EN 10088
41 Stainless steel AISI 316L - UNI EN 10088
Certified System

Norm EN 50085-2-1
Cable trunking systems and cable ducting systems for electrical installations
Part 2-1: Cable trunking systems and cable ducting systems intended for
mounting on walls and ceilings.
10.4 Linear deflection test
The test sample is subjected to an evenly distributed load of 1 g/mm2
metre length of the declared usable area for cables.

Norm EN 61537-1 ed.2007
Cable management
Cable tray systems and cable ladder systems

UL - file E471266
Attention: for ZT and ZM material sold/assembled in U.S.A. and Canada, please require UL mark

EN 61537-1

y= Max load (N/m)
x= Distance between supports (m)
D= Uniform load

Perforated cable tray
To access the download, you must log in or sign up


×