Trunking M0 042

Cover with Winged locks - Sendzimir galvanized and Peraluman aluminium
Preset for earthing plait and safety cord

Dimension brush Thickness Weight Technical Info Code
H W (B) [mm] [Kg/m] L N°Wings
50 50 1,20 2,27 2000 4 M0 042 0505
75 75 1,20 3,36 2000 4 M0 042 0707
100 100 1,20 4,32 2000 4 M0 042 1010
100 100 2,00 7,28 2000 4 M0 042 1010
100 100 2,00 6,40 2000 4 M0 042 1010
100 150 1,50 6,69 2000 8 M0 042 1015
100 150 2,00 8,96 2000 8 M0 042 1015
100 150 2,00 7,74 2000 8 M0 042 1015
100 200 1,50 7,90 2000 8 M0 042 1020
100 200 2,00 10,56 2000 8 M0 042 1020
100 200 2,00 9,00 2000 8 M0 042 1020
100 300 1,50 10,30 2000 8 M0 042 1030
100 300 2,00 13,76 2000 8 M0 042 1030
100 300 2,00 11,48 2000 8 M0 042 1030
100 400 2,00 16,95 2000 8 M0 042 1040
100 400 2,00 13,96 2000 8 M0 042 1040
100 500 2,00 20,14 2000 8 M0 042 1050
100 500 2,00 16,44 2000 8 M0 042 1050
100 600 2,00 23,34 2000 8 M0 042 1060
100 600 2,00 18,94 2000 8 M0 042 1060
150 300 2,00 15,35 2000 8 M0 042 1530
150 400 2,00 18,55 2000 8 M0 042 1540

50 Sendzimir basis +”peraluman” aluminium cover
(thickness 3,00 + 1,50mm)

Not walkable per UL standard


List of Coatings
brush
01 Galvanization (Sendzimir method) - UNI EN 10346
20 Sendzimir galvanized 20/10 trampling
50 Sendzimir basis+peraluman aluminium Cover
Certified System

UL - file E471266
Attention: for ZT and ZM material sold/assembled in U.S.A. and Canada, please require UL mark

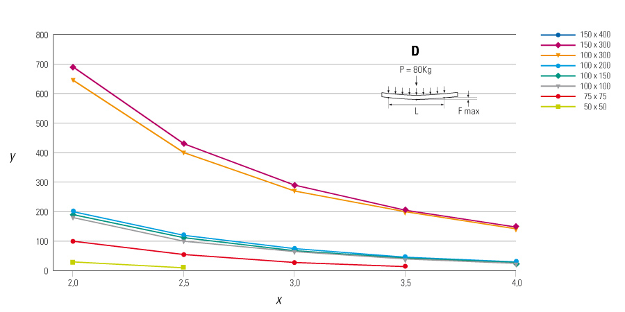
y= Max load (Kg/m)
x= Distance between supports (m)
D= Uniform load

y= Max load (Kg/m)
x= Distance between supports (m)
D= Uniform load + concentrated load 80Kg.

Trunking M0 042
To access the download, you must log in or sign up


×