Cable tray for motorway tunnels

- IP20 with COVER
The specific catalogue ZG and ZN is available on request

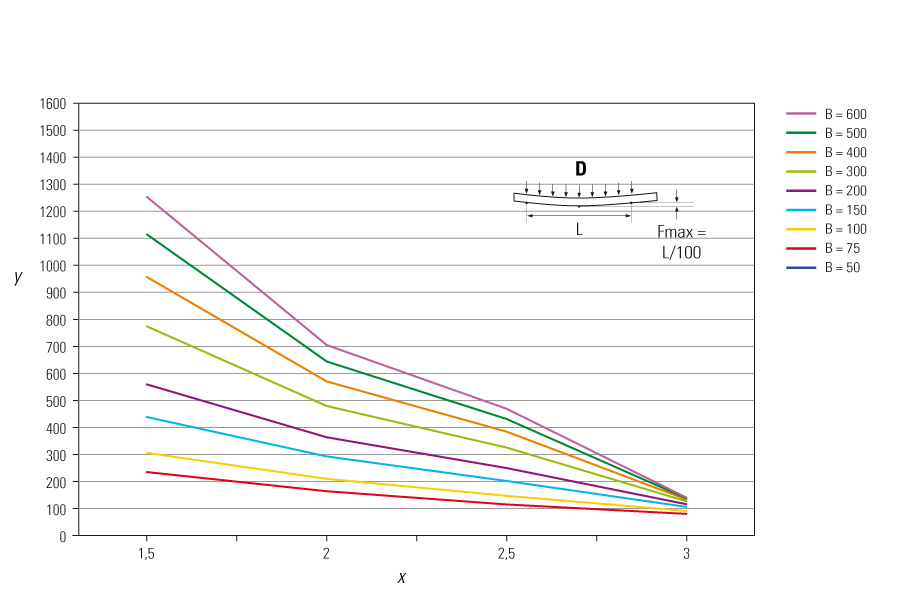
Dimension brush Thickness Conductor section Weight Length SWL (N/m) as function of the span (S) [m] -EN 61537 Usable section of channel [mm²] - EN 50085-2-1 Minimum distance Slots pitch Bottom slots Code
W (B) [mm] [mm2] [Kg/m] [mm] 1,5 m 2 m 2,5 m 3 m 1,5 m 2 m 2,5 m 3 m 3,5 m 4 m [mm] [mm]
75 0,60 145,80 1,04 3000 235 164 115 80 5400 5400 2810 2810 2810 2810 25 50 2 T0 053 0707
100 0,60 160,80 1,17 3000 306 210 147 91 7200 7200 3750 3750 3750 3750 25 50 2 T0 053 0710
150 0,80 254,40 1,83 3000 439 293 202 106 10800 10800 5625 5625 5625 5500 25 50 4 T0 053 0715
200 0,80 294,40 2,10 3000 560 364 250 116 14400 14400 7500 7500 7500 5750 25 50 6 T0 053 0720
300 1,00 468,00 3,31 3000 775 480 326 127 21600 21600 11250 11250 11142 7500 25 50 10 T0 053 0730
300 0,80 375,00 2,70 3000 775 480 326 127 21600 21600 11250 11250 11142 7500 25 50 10 T0 053 0730
400 1,00 568,00 3,99 3000 958 571 385 134 28800 28800 15000 15000 11428 7500 25 50 14 T0 053 0740
500 1,20 799,20 5,60 3000 1116 645 432 138 36000 36000 18750 18750 13714 9250 25 50 18 T0 053 0750
600 1,20 919,20 6,41 3000 1255 706 470 141 43200 43200 22500 22000 14000 9250 25 50 22 T0 053 0760
List of Coatings
brush
01 Galvanization (Sendzimir method) - UNI EN 10346
03 Hot dip galvanizing - UNI EN ISO 1461
11 Grey RAL 7032 - ISO9227-ISO6270-ISO2810
15 Blue RAL 5015 - ISO9227-ISO6270-ISO2810
40 Stainless steel AISI 304 - UNI EN 10088
41 Stainless steel AISI 316L - UNI EN 10088
Certified System

Norm EN 50085-2-1
Cable trunking systems and cable ducting systems for electrical installations
Part 2-1: Cable trunking systems and cable ducting systems intended for
mounting on walls and ceilings.
10.4 Linear deflection test
The test sample is subjected to an evenly distributed load of 1 g/mm2
metre length of the declared usable area for cables.

Norm EN 61537-1 ed.2007
Cable management
Cable tray systems and cable ladder systems

UL - file E471266
Attention: for ZT and ZM material sold/assembled in U.S.A. and Canada, please require UL mark

EN 61537-1

y= Max load (N/m)
x= Distance between supports (m)
D= Uniform load

Cable tray for motorway tunnels
To access the download, you must log in or sign up


×